You are here: Home > Message Board > Palace Talk > The HF yesterday
November 5 2025 7.27pm

This page is no longer updated, and is the old forum. For new topics visit the New HOL forum.

The HF yesterday

Previous Topic | Next Topic


Page 4 of 4 << First< 1 2 3 4

  

Y Ddraig Goch Flag In The Crowd 31 Jan 17 9.08am Send a Private Message to Y Ddraig Goch Add Y Ddraig Goch as a friend

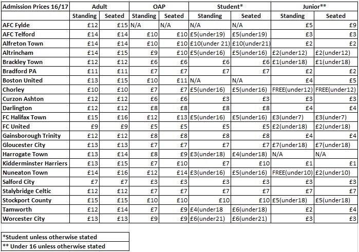
the days of cheap football are long gone

Look at the price of tickets for National League North.

Average £13 for 5 leagues below the Premier League

National League North.jpg Attachment: National League North.jpg (112.43Kb)

 


the dignified don't even enter in the game

Alert Alert a moderator to this post Edit this post Quote this post in a reply
Liam t 31 Jan 17 9.30am

Originally posted by bexleydave

No one was being 'ripped off'. Attendance at a sporting event is an entirely voluntary activity and, if you don't like the pricing structure, then don't go. Obtaining tickets, to which you were not entitled, fraudulently, is not the answer and those with invalid tickets were quite rightly refused admission. If the rest of them decide to then have a flounce that's entirely up to them.

They have, quite rightly, no say in the running of Crystal Palace FC and represent a tiny proportion of the total support. Their self-important posturing is becoming increasingly tedious. We managed perfectly well before them, and we'll continue to do so when they're gone.

My personal view is that what they supposedly bring to the atmosphere is somewhat overblown. Their major contribution now is smashing away on a drum and droning away in the corner with the vast majority of the rest of the ground not joining in. I have considerably more time for the group in the top corner of the Arthur Waite who at least stick to singing the 'classics'.

Edited by bexleydave (30 Jan 2017 11.12am)


agree with this - all they sing about is themselves, don't react to the game at all actually quite harmful to the atmosphere in block B often ignore back of the block starting older classic chants and carry on low groaning there own

 


Alert Alert a moderator to this post Quote this post in a reply
paperhat Flag croydon 31 Jan 17 9.51am Send a Private Message to paperhat Add paperhat as a friend

Originally posted by Liam t

agree with this - all they sing about is themselves, don't react to the game at all actually quite harmful to the atmosphere in block B often ignore back of the block starting older classic chants and carry on low groaning there own

agree 100%

 


Clinton is Clinton. I have known him for a long time, I know his mother... Simon Jordan


Alert Alert a moderator to this post Edit this post Quote this post in a reply

  

Page 4 of 4 << First< 1 2 3 4

Previous Topic | Next Topic

You are here: Home > Message Board > Palace Talk > The HF yesterday